当前位置:
首页 > 常见问题
					

- 
三亿(中国)|工业循环冷却水常见三亿首页方法
在选择三亿首页方法时,既要兼顾节约用水,同时也要十分重视系统的结垢,腐蚀和防护等
 

- 
三亿(中国)|复配缓蚀阻垢剂在循环冷却水中应用
将咪唑啉季铵盐、膦羧酸共聚物、丙烯酸-丙烯酸酯-磺酸盐共聚物、氯化锌按不同的质量比进行复配
 

- 
三亿(中国)|循环水化学清洗及预膜效果对比
投入三亿(中国)环境工程有限公司生产的粘泥剥离剂和杀菌灭藻剂,能够快速有效杀灭绿藻、蓝藻、青苔、褐藻等藻类和细菌微生物
 

- 
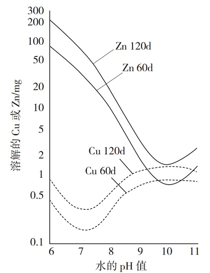
三亿(中国)|pH值对黄铜脱锌腐蚀的影响
pH值对黄铜脱锌腐蚀的关系
 

- 
三亿(中国)|清洗后预膜三亿首页
药剂剂量都控制在适定范围,起到了良好的预膜效果
 

- 
三亿(中国)|循环水系统pH值腐蚀
Zn2+在冷却水中对钢有缓蚀作用,锌盐是一种使用广泛的缓蚀剂
 

- 
三亿(中国)|根据水质情况投加杀菌灭藻剂
根据循环水系统的水质情况,定期投加三亿(中国)杀菌灭藻剂
 

- 
三亿(中国)|循环水水质差会导致的问题
敞开式冷却塔运行一段时间后,水质差,需要经过加药三亿首页
 

- 
三亿(中国)|清洗预膜三亿首页后的日常
预膜清洗后,在循环水系统正常运行时,根据水质情况进行日常加药三亿首页
 

- 
三亿(中国)|避免冷凝器腐蚀穿孔前的清洗预膜
清洗预膜的目的是使正常运行时投加的药剂发挥较好的效果
 
推荐资讯 / Recommended News
- [2024-04-01] 抵制网络谣言 共建清朗空间
 - [2023-10-13] 三亿(中国)|制药企业水三亿首页量身定制运维服务
 - [2023-10-09] 三亿(中国)|循环冷却水阻垢效果主要因素
 - [2023-10-09] 三亿(中国)|营业执照
 - [2023-10-08] 寒露|凉意渐浓·愿与秋韵共迎风
 - [2023-10-07] 三亿(中国)|市政污水深度除磷方案
 - [2023-10-01] 三亿(中国)|热烈庆祝中华人民共和国成立74周年
 - [2023-10-01] 中秋|佳节共赏天上月·中秋一品人间情
 - [2023-09-28] 三亿(中国)|化学混凝强化除磷·为中药类废水提供支持
 - [2023-09-27] 三亿(中国)|2023年中秋·国庆放假工作安排
 




