三亿(中国)|循环水系统pH值腐蚀
冷却水的Ryznar指数如表所示:
根据上图的判断标准,可知某热电厂的实际运行工况不仅可能导致循环冷却水系统严重腐蚀,还有可能产生结垢。
影响冷却水系统中金属换热设备腐蚀的因素较多,大致包括化学、物理和生物等方面的因素。
其中pH值致腐:
在冷却水中,pH值对金属腐蚀的影响,取决于该金属的氧化物或氢氧化物在水中的溶解度。比如铁的氧化物属于两性氧化物,既溶于酸又溶于碱,所以它在低pH值或高pH值时的腐蚀速度都很快,而在中间的pH值范围内,又具有较强的耐蚀性。
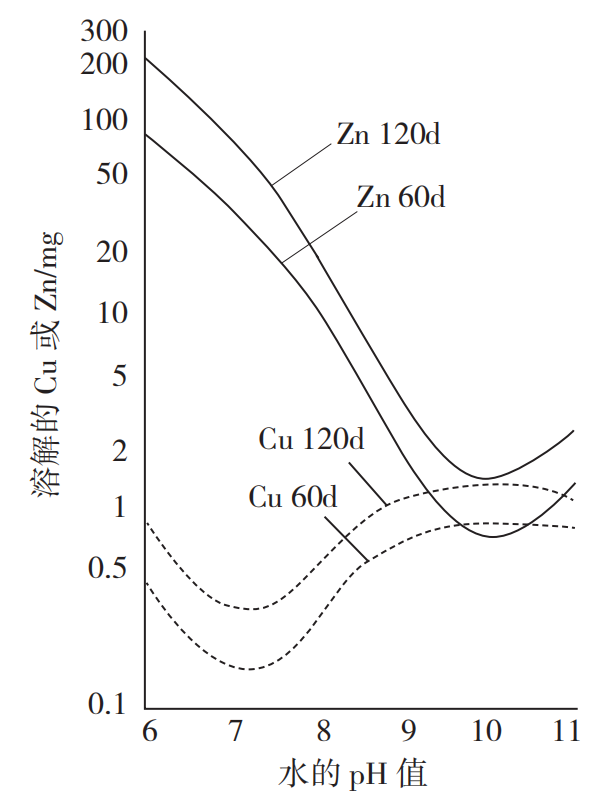
在pH<9的水中,黄铜中锌的腐蚀速度比铜大得多,因而会发生脱锌腐蚀,pH值对黄铜脱锌腐蚀的影响如图所示:
图pH值对黄铜(含60%Cu、40%Zn)脱锌腐蚀的关系
Fe3+在酸性溶液中会加速钢铁腐蚀,而Fe2+在中性溶液中可以抑制铜和铜合金的腐蚀,所以亚铁盐普遍用于凝汽器铜管的预膜防腐三亿首页。Zn2+在冷却水中对钢有缓蚀作用,锌盐是一种使用广泛的缓蚀剂。

