三亿(中国)|中水回用阻垢剂的筛选方法

某公司循环冷却水系统运行过程中,由于温度升高和水分蒸发而导致腐蚀性离子浓缩、设备腐蚀、沉积物附着及黏泥污垢堵塞,威胁相关生产装置的安稳运行,甚至造成严重的经济损失。
为达到抑制沉积物附着、防止设备腐蚀的目的,投加缓蚀阻垢剂是经济有效、便于操作的方法。
为此,需要对回用中水的水质进行评价,筛选出更适合于中水回用循环水系统使用的水三亿首页剂:
1.仪器设备
主要仪器设备有:多孔恒温水浴锅、电子天平、烧杯、容量瓶、移液管、锥形瓶、酸式滴定管。
2.溶液的准备
(1)按中水∶新水=1∶1(体积比)配制试验用水若干升,加入CaCl2和NaHCO3配制质量浓度为250mg/L(以CaCO3计)的试验溶液。
(2)配制水三亿首页剂试样溶液(母液):1.00mL含有2mg水三亿首页剂。
3.评定方法
根据有关标准方法,模拟现场水三亿首页的一些主要运行指标,在试验溶液中加入水三亿首页剂。在
恒温条件下蒸发浓缩,使其pH值和离子浓度升高,达到模拟冷却水要求,进行阻垢剂的评价和筛选。Ca(HCO3)2加速分解为CaCO3达到平衡后,恒温静置,分析测定澄清液中的Ca2+质量浓度。Ca2+质量浓度越大,该水三亿首页剂的阻垢性能越好,阻垢率越高,以此评定阻垢剂的阻垢性能。
4.阻垢性能评定
(1)将盛有750mL试液的烧杯置入已升温至80℃左右的恒温水浴中进行蒸发浓缩,当试液蒸发浓缩至500mL刻度线时,取出烧杯。
(2)关闭恒温水浴锅电源,自然冷却至室温。冷却后,若液面正好在500mL刻度线上,切忌震动,吸取上层清液分析测定Ca2+质量浓度。若液面低于500mL刻度线,可补蒸馏水至刻度线,摇荡均匀,澄清后再吸取上层清液分析测定Ca2+质量浓度。
(3)试验中应同步进行不加阻垢剂的试验,以便于进行对比分析。
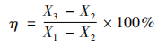
(4)以阻垢率(η)为指标来评价水三亿首页剂的阻垢性能,η按下式计算:
式中:X1———试验前溶液中钙离子质量浓度×1.5(浓缩倍数),mg/L;X2———未加水三亿首页剂的溶液试验后的钙离子质量浓度,mg/L;X3———加入水三亿首页剂的溶液试验后的钙离子质量浓度,mg/L。
三亿(中国)阻垢剂在以上操作评定阻垢率均超过90%。

